5.6.2.1
Introdução
A melhor
maneira de determinar vazão de escoamento de uma instalação, ainda é
através de um reservatório de área transversal A conhecida e um
cronômetro como mostra a figura 5.17 e a equação 5.13 (determinação
da vazão de forma direta).

Outra maneira
seria com o reservatório representado pela figura 5.17 apoiada em
uma balança, onde determinamos a vazão em massa, como mostra a
equação 5.14.

onde: mV
- massa do reservatório vazio. mVL - massa lida na
balança após um intervalo de tempo t.
Conhecendo-se a
temperatura de escoamento do fluido, temos sua massa específica e em
conseqüência sua vazão em volume, já que:

Apesar da
eficiência dos métodos descritos anteriormente, na prática
geralmente não são viáveis, já que teríamos necessidade de desviar o
fluxo da instalação toda vez que desejássemos determinar a vazão do
escoamento, e isto nos leva a recorrer à aparelhos medidores de
vazão (determinação da vazão de forma indireta), os quais devem ser
ensaiados, tanto para determinação da sua curva característica, como
para a determinação da sua curva de calibração.
A curva
característica é uma curva universal, sendo esta sua grande
vantagem, porém só pode ser usada por especialistas; já a curva de
calibração, por apresentar, tanto na abscissa, como na ordenada,
parâmetros dimensionais, trata-se de uma curva particular, sendo
esta a sua grande desvantagem, porém apresenta a vantagem de poder
ser usada por um leigo no assunto.
5.6.2.2
Coeficientes de Correção
Os coeficientes
de correção usados nos medidores de vazão, são:

Para que
possamos compreender os coeficientes mencionados anteriormente,
consideramos o exemplo representado pela figura 5.18, onde
instalamos um orifício de bordas delgadas.

Através da
equação de Bernoulli aplicada entre as seções (1) e (2), obtemos a
velocidade teórica, equação 5.15 .

A velocidade
real é obtida pelos conceitos abordados em um lançamento inclinado e
é representada pela equação 5.16.

Evocando o
conceito de vazão, podemos determiná-la como mostrado a seguir:

Portanto:

5.6.2.3
Equacionamento Básico
O equacionamento
básico é válido para os aparelhos medidores de vazão, que propiciam
um aumento de energia cinética em conseqüência da diminuição de
pressão estática. As variações são originadas por uma variação de
área transversal, como observado no tubo Venturi, nos bocais de
fluxo e nas placas de orifício.
Considerando
como (1) a seção de área máxima e como (2) a seção de veia contraída
e aplicando entre estas seções a EQUAÇÃO DE BERNOULLI, obtemos a
equação 5.17:

Através da
equação da continuidade, obtemos a equação 5.18:

Da equação 5.18
na equação 5.17, obtemos a velocidade teórica na seção (2), que é
representada pela equação 5.19:

Evocando o
conceito de coeficiente de contração, considerando Z1 ≠ Z2
e instalando um manômetro diferencial entre (1) e (2), podemos obter
as equações 5.20 e 5.21:

Das equações
5.20 e 5.21 na equação 5.19 resulta a equação 5.22:

Evocando o
conceito de coeficiente de velocidade, obtemos a velocidade real na
seção (2) como mostrado na equação 5.23:

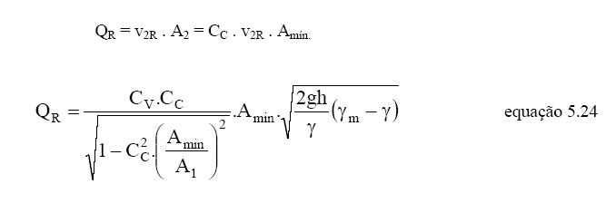
Já que
calculamos a velocidade real na veia contraída, podemos determinar a
vazão real, como mostrado a seguir:

5.6.2.4 Medidor
Tipo Venturi
O tubo Venturi,
foi idealizado pelo cientista italiano Venturi em 1791 e usado como
medidor de vazão em 1886 por Clemens Herschel, sendo constituído por
um bocal convergente - divergente (figura 5.19 e foto 01).



Foto 01
O medidor
Venturi é constituído de uma seção a montante do mesmo diâmetro do
conduto, que através de uma seção cônica convergente (ângulo
geralmente de 20 a 30º); o leva a uma seção mínima, garganta do
Venturi, e através de uma seção cônica divergente (ângulo geralmente
de 5 à 14º) gradualmente retorna ao diâmetro do conduto.
O difusor cônico
divergente gradual à jusante da garganta fornece excelente
recuperação da pressão; e isto garante uma pequena perda de carga
neste tipo de aparelho, perda geralmente compreendida entre 10 à 15
por cento da carga de pressão entre as seções (1) e (2).
Deve-se
salientar que este tipo de aparelho é relativamente caro em relação
por exemplo, a um medidor tipo placa de orifício porém, por
propiciar pequena perda de carga é recomendado para instalações onde
se tem uma vazão de escoamento elevada e onde se deseja um controle
contínuo. Para se diminuir o custo do medidor Venturi o mesmo é
construído com ângulos maiores que chegam à 30º e 14º,
respectivamente no convergente e divergente.
A especificação
de um medidor Venturi é feita pelos diâmetros do conduto e da
garganta, sendo que este último deve ser projetado para propiciar
uma pressão (pressão mínima) maior que a pressão de vapor do fluido
que escoa, evitando desta forma que o mesmo vaporize na temperatura
do escoamento, o que caracterizaria o fenômeno denominado de
cavitação.
Os valores de D2/D1
podem oscilar entre
¼
e ¾
, porém uma
relação comum é ½
. Uma relação pequena oferece maior precisão, porém aumenta a
possibilidade de ocorrer o fenômeno de cavitação, que danificaria
estruturalmente o Venturi.
Para se obter
resultados precisos, o medidor Venturi deve ser precedido por um
tubo reto, isento de singularidades, com um comprimento mínimo de 10
vezes o seu diâmetro maior.
Outra
característica importante do Venturi é que ele é construído de tal
forma que o coeficiente de contração é igual a 1,0 , portanto:

A equação 5.24
reescrita para o Venturi origina a equação 5.25 :

O coeficiente de
descarta (Cd) do medidor Venturi a menos de informação específica,
pode ser considerado aproximadamente igual a 0,99 para condutos
grandes e 0,97 a 0,98 para condutos pequenos, isto sempre que o
escoamento propiciar um número de Reynolds de aproximação grande
(Re1 > 105).
Para medidores
Venturi, que estejam em funcionamento a muitos anos, se observa uma
pequena redução de Cd . Importante: Os coeficientes podem ser
ligeiramente maiores que a unidade para medidores Venturi com
paredes internas extremamente lisas. Isto não significa que não haja
perdas, mas resulta do fato de se desprezar os coeficientes de
energia cinética a1,
a2
na equação de Bernoulli. Geralmente a1
é maior do que a2,
pois a redução da seção age no sentido de uniformizar a distribuição
de velocidades através da seção 2. A equação a seguir, obtida
através da figura 5.19, leva em consideração os coeficientes de
energia cinética:

Para o caso do
fluido ideal, cada termo dentro do colchete é nulo, o que originaria
um coeficiente de vazão igual a 1,0. Para o Venturi com perda muito
pequena (paredes internas extremamente lisas) e quando a
distribuição de velocidades é praticamente uniforme na seção 2
(neste caso α2 = 1,0), podemos ter o termo dentro do colchete dando
negativo, o que poderia resultar em um coeficiente de vazão
ligeiramente superior a 1,0.
O gráfico,
representado pela figura 5.20, foi obtido pelos professores R.L.
DAUGHERTY e A.C. INGERSOLL, professores do instituto de tecnologia
da Califórnia, para uma faixa bastante grande de viscosidade, desde
a da água à uma série de óleos, onde trabalharam com medidor VENTURI
com D2/D1 =
½.
O objetivo deste gráfico é mostrar, que para o medidor Venturi, pelo
fato do coeficiente de contração (CC) ser igual a 1,0,
portanto CV = Cd , tanto o CV, como
o Cd aumentam até o número de Reynolds de aproximação
igual a cerca de 105 e a partir daí permanecem
praticamente constante.
O gráfico
representado pela figura 5.20, tem como objetivo mostrar que mesmo
para uma mesma relação D2/D1 e um mesmo número
de Reynolds, Cd ou CV , variam com o tamanho
do medidor VENTURI, sendo que para os maiores, devido a trabalharem
com velocidades menores, a perda de carga é menor e portanto Cd
= CV se aproximam da unidade.

Já a figura 5.21
mostra os resultados experimentais apresentados por Victor L.
Streeter (Streeter, Victor Lyle e Wylie, E. Benjamin – Mecânica dos
Fluidos: tradução de: Celso da Silva Muniz e outros , McGraw – Hill
do Brasil, São Paulo, 1980 – 7 a edição) para as relações de
diâmetro D2/D1 de 0,25 a 0,75 entre as
tolerâncias mostradas pelas linhas tracejadas.
