Cavitação

Referência bibliográfica

Conceito

Dicionário Houaiss da língua portuguesa – 1ª edição - Rio de Janeiro: Editora Objetiva, 2001

(1) Fis. Formação de cavidades (bolhas de vapor ou de gás) num líquido por efeito de uma redução da pressão total (pode ocorrer no uso de bombas hidráulicas ou turbinas) (2) Mar. Fenômeno provocado pela ação da hélice na água, gerando espaços de vácuo que causam uma redução no rendimento da ação propulsora e o aparecimento de fortes vibrações quando a velocidade da rotação da hélice ultrapassa certo limite. Criado pelo engenheiro inglês W. Froude (1810 – 1879)

Novo Aurélio – século XXI – O Dicionário da Língua Portuguesa – DICIONÁRIO ELETRÔNICO – EDITORA NOVA FRONTEIRA – Lexikon Informática

 

[Do ingl. cavitation.]

S. f.

 1.    Fís. Formação de bolhas de vapor ou de gás em líquido por efeito de forças de natureza mecânica.

 2.    Mar. Rarefação formada na água que envolve a hélice de uma embarcação, quando a velocidade de rotação da hélice e o deslocamento da embarcação alcançam um valor crítico, do que resulta queda de rendimento da propulsão e fortes vibrações no casco da embarcação. 

Introdução à Mecânica dos Fluidos – Robert W. Fox, Alan T. McDonald e Philip J. Pritchard – 6ª edição - Rio de Janeiro: Editora LTC, 2006

“A cavitação pode ocorrer em qualquer máquina trabalhando com líquido, sempre que a pressão estática local cair abaixo da pressão de vapor do líquido. Quando isto ocorre, o líquido pode localmente passar de líquido para vapor instantaneamente, formando uma cavidade de vapor e alterando significativamente a configuração do escoamento em relação à condição sem cavitação. A cavidade de vapor muda a forma efetiva da passagem do escoamento, alterando assim o campo de pressão local. Como o tamanho e a forma da cavidade (bolha) de vapor são influenciados pelo campo de pressão local, o escoamento pode tornar-se transiente. O regime transiente pode causar oscilação em todo escoamento e vibração na máquina”.

Mecânica dos Fluidos – Fundamentos e Aplicações – Tufi Mamed Assy – 2ª edição - Rio de Janeiro: Editora LTC, 2004

“Há então uma correspondência biunívoca entre a temperatura de vaporização, qv e a pressão de vapor pv, evidenciada em tabela anterior. Vários outros fenômenos estão intimamente ligados à pressão de vapor, como, por exemplo, a ebulição e a cavitação. ... cavitação, que é a vaporização de um líquido quando a pressão exercida sobre ele se torna, ainda que ligeiramente, inferior à pressão de vapor à temperatura em que ele se encontra. Diz-se, portanto, que um líquido cavita quando bolhas de vapor se formam e se expandem em um ou mais de seus pontos devido à redução de pressão nesses pontos abaixo de sua pressão de vapor correspondente à sua temperatura. Quando a mudança de fase resulta de redução de pressão por meios hidrodinâmicos, o escoamento é dito cavitante”.

Mecânica dos Fluidos – Fundamentos e Aplicações – Yunus A. Çengel e John M. Cimbala – 1ª edição – São Paulo: McGraw – Hill, 2007

“A razão de nosso interesse na pressão de vapor é a possibilidade da pressão do líquido nos sistemas de escoamento cair abaixo da pressão de vapor em alguns locais, resultando em evaporação não planejada. Por exemplo, água a 10ºC transforma-se em vapor e forma bolhas em locais (tais como regiões das extremidades das hélices ou lados de sucção de bombas) onde a pressão cai abaixo de 1,23 kPa. As bolhas de vapor (chamadas de bolhas de cavitação visto que formam “cavidades” no líquido) quebram-se à medida que são afastadas das regiões de baixas pressões, criando ondas de choque altamente destrutivas e com pressões extremamente altas. Esse fenômeno é uma causa comum para a queda de desempenho e mesmo erosão das pás de hélices, sendo chamado de cavitação, e é relevante no projeto de turbinas hidráulicas e bombas”.

Manual de Bombas – Diseño, aplicacion, especificaciones, operación y mantenimiento - Karassik, Krutzsch, Fraser e Messina – México: McGraw-Hill, 1983

“La formación y subsecuente colapso de las cavidades llenas de vapor en un líquido, debido a la acción dinámica, se llama cavitación. Las cavidades pueden ser burbujas o bolsas llenas de vapor, o una combinación de ambas. Para que la cavitación se inicie la presión en el lugar debe ser igual o menor que la presión de vapor del líquido, y las cavidades deben encontrar una región de presión más alta que la presión de vapor para que imploten. Los gases disueltos con frecuencia se liberan poco antes de que empiece la vaporización. Esto puede ser una indicación de cavitación inminente, pero la verdadera cavitación requiere la vaporización del líquido. De la definición de cavitación se excluye arbitrariamente la ebullición acompañada por la adición de calor o la reducción de presión estática sin Ia acción dinámica dei fluido. Con mezclas de líquidos, como la gasolina, las fracciones ligeras tienden a cavitar primero”.

Manual de Hidráulica - Azevedo Netto, Miguel Fernadez y Fernadez, Roberto de Araujo e Acácio Eiji Ito – 8ª edição atualizada, 3ª reimpressão - São Paulo: Editora Edgard Blücher Ltda, 2003

“Quando a pressão absoluta em um determinado ponto se reduz a valores abaixo de um certo limite, alcançando o ponto de ebulição da água (para essa pressão) esse líquido começa a ferver e os condutos ou peças (de bombas, turbinas ou tubulações) passam a apresentar, em parte, bolsas de vapor dentro da própria corrente. O fenômeno de formação e destruição dessas bolsas de vapor, ou cavidades preenchidas com vapor, denomina-se cavitação”.

Bombas Industriais – Edson Ezequiel de Mattos e Reinaldo de Falco – 2ª edição – Rio de Janeiro: Editora Interciência Ltda, 1998

É fato aceito tradicionalmente que, se a pressão absoluta em qualquer ponto de um sistema de bombeamento atingir valor igual ou inferior à pressão de vapor do líquido, na temperatura de bombeamento, parte deste líquido se vaporizará. Vamos supor que as bolhas formadas continuem em trânsito com o líquido bombeado. Nestas condições, quando esta mistura atingir alguma região onde a pressão absoluta for novamente superior à pressão de vapor do líquido na temperatura de bombeamento, haverá o colapso das bolhas com retorno à fase líquida. Entretanto, como o volume específico do líquido é inferior ao volume especifico do vapor, o colapso das bolhas implicará a existência de um vazio, proporcionando o aparecimento de onda de choque,... a penetração de líquido na depressão originada pela deformação da bolha produz um microjato na ocasião do colapso. Desta forma, o efeito é mais severo quando o colapso ocorre em local junto ou próximo à superfície metálica. Neste caso, o microjato incide diretamente sobre a superfície enquanto que, no caso de bolhas que colapsam na corrente líquida, o impacto é transmitido através de ondas de choque. Esta seqüência de acontecimentos pode ser facilmente visualizada pelo escoamento de um líquido através de um tubo venturi, conforme ilustrado na Fig. 10.2. Neste caso, a velocidade máxima e, conseqüentemente a pressão mínima, ocorrem na garganta do tubo. Então se formos aumentando a vazão, chegaremos a uma situação em que a pressão de vapor é atingida na garganta, propiciando o início da cavitação. É interessante notar que o colapso das bolhas ocorre em região logo após a garganta do tubo venturi.

 

Fig. 10.2 - Cavitação em tubo venturi (Ref. Bibl. 10.2).

 

No caso particular das bombas centrífugas, a região de mínima pressão, crítica para efeito de análise de cavitação, é a entrada (olho) do impelidor (Fig. 10.3). Nesta região a pressão é mínima, pois oquido ainda não recebeu nenhuma adição de energia por parte do impelidor e teve sua energia reduzida pelas perdas de carga na linha de sucção e entrada da bomba. Na hipótese de aparecimento de bolhas nesta região, o colapso se dará naquela onde a pressão for novamente superior à pressão de vapor, provavelmente no canal do impelidor ou, posteriormente, na entrada da voluta ou canal das pás difusoras, dependendo do tipo de bomba.

 

 

Figura 10.3 - Região crítica para início da cavitação (Entrada do impelidor) (Secção 2).

 

É interessante observar que, na vaporização convencional, o aparecimento de bolhas é resultante de aumento de temperatura com a pressão mantida constante, enquanto que na cavitação o mesmo fato ocorre com redução de pressão, mantida a temperatura constante”.

Escola de bombas – da OMEL – sítio:

 

http://www.omel.com.br/ES/escola__bombas_npsh_e_cavitacao.ph

 

Cavitação é um termo usado para descrever o fenômeno que ocorre numa bomba quando existe insuficiente NPSH disponível em relação ao NPSH requerido. Quando a pressão do líquido é reduzida a um valor igual ou abaixo de sua pressão de vapor, começam a formar pequenas bolhas ou bolsas de vapor. Como estas bolhas se movem à frente das pás do rotor para uma zona de pressão mais alta, elas rebentam rapidamente. O arrebentamento é tão brusco que gera um ruído violento, como se a bomba estivesse bombeando cascalho. Por isso, a maneira mais fácil de reconhecer que a bomba está cavitando é através do acompanhamento do ruído da bomba.
Outra conseqüência do colapso das bolhas é a retirada de material da superfície (pitting) de onde ocorrem as implosões, causando principalmente, dependendo da intensidade e duração, a erosão do rotor. Além de danos no rotor, a cavitação normalmente resulta em redução da capacidade da bomba devido ao vapor presente, redução e instabilidade da altura manométrica, vibração e defeitos mecânicos.

Disciplina TA631 - Operações Unitárias de Transferência de Quantidade de Movimento
Página web: http://www.unicamp.br/fea/ortega/
Professor: Enrique Ortega.
Monitores PED: Marcos Watanabe, Lucas Pereira
Monitor PAD: Samuel Freitas
Horários de aula: quinta das 16 às 18 horas (sala FA36); sexta das 14 às 16 horas (sala FA36).
Atendimento no Lab. de Engenharia Ecológica (DEA): a ser definido
Planejamento da disciplina (pdf)

 

Sítio:

 

http://www.unicamp.br/fea/ortega/aulas/index631.htm

 

Bombas e Instalações de bombeamento – Archibald Joseph Macintyre – Rio de Janeiro: Editora Guanabara Dois, 1980

 

 

“O fenômeno de cavitação - No deslocamento de pistões; nos "venturis"; no deslocamento de superfícies constituídas por pás, como sucede nas turbomáquinas e nas hélices de propulsão, ocorrem inevitavelmente rarefações no líquido, isto é, pressões reduzidas devidas à própria natureza do escoamento ou ao movimento impresso pelas peças móveis ao líquido. Se a pressão absoluta baixar até atingir a pressão de vapor (ou "tensão de vapor") do líquido na temperatura em que este se encontra, inicia-se um processo de vaporização do mesmo. Inicialmente, nas regiões mais rarefeitas, formam-se pequenas bolsas, bolhas ou cavidades (daí o nome de cavitação) no interior das quais o líquido se vaporiza. Em seguida, conduzidas pela corrente líquida provocada pelo movimento do órgão propulsor e com grande velocidade, atingem regiões de elevada pressão, onde se processa seu colapso, com a condensação do vapor e o retorno ao estado líquido. As bolhas que contêm vapor do líquido parecem originar-se em pequenas cavidades nas paredes do material ou em torno de pequenas impurezas contidas no líquido, em geral próximas às superfícies, chamadas "núcleos de vaporização" ou "de cavitação", cuja natureza constitui objeto de pesquisas interessantes e importantes. Portanto, quando a pressão reinante no líquido se torna maior do que a pressão interna da bolha com vapor, as dimensões da mesma se reduzem bruscamente, ocorrendo seu colapso e provocando um deslocamento do líquido circundante para seu interior, que gera assim uma pressão de inércia considerável. As partículas formadas pela condensação se chocam muito rapidamente umas de encontro às outras, e de encontro à superfície que se -anteponha ao seu deslocamento. Produz-se, em conseqüência, simultaneamente uma alteração no campo representativo das velocidades e das pressões que deveria existir segundo as considerações teóricas do escoamento líquido. As superfícies metálicas onde se chocam as diminutas partículas resultantes da condensação são submetidas a uma atuação de forças complexas oriundas da energia dessas partículas, que produzem percussões, desagregando elementos de material de menor coesão, e formam pequenos orifícios, que, com o prosseguimento do fenômeno, dão à superfície um aspecto esponjoso, rendilhado, corroído. É a erosão por cavitação. O desgaste pode assumir proporções tais que pedaços de metal podem soltar-se das peças. Pedaços de aço doce, com mais de 2 cm de espessura, têm sido arrancados de rotores ou de bocas de entrada de bombas e de tubos de sucção de turbinas. Os efeitos da cavitação são visíveis, mensuráveis e até audíveis, parecendo o crepitar de lenha seca ao fogo ou um marte lamento com freqüência elevada. As pressões exercidas sobre as superfícies pela ação da percussão das partículas condensadas ou pela onda de choque por ela provocada alcançam valores relativamente elevados, mas não tão intensos que pudessem normalmente produzir a ruptura do material. Várias explicações têm sido apresentadas para esclarecer essa ação destruidora. Admitem alguns que a alteração periódica e rapidíssima das pressões possa concorrer para o enfraquecimento da estrutura dos cristais dos materiais. Outros supõem que, devido à percussão das partículas condensadas, com uma freqüência de vários milhares de ciclos por segundo, possam ocorrer, em pontos pequeníssimos da superfície, temperaturas elevadas que reduziriam a resistência dos cristais, podendo então as pressões de colapso das bolhas ser suficientes para desagregar partículas do material. As regiões atingidas não são aquelas em que as pressões são as menores, isto é, no dorso das pás, e sim aquelas em que se produziram condensação das partículas de vapor (Fig. 9.1). Quando a condensação se processa a jusante das pás, na própria boca de entrada ou no tubo de aspiração, o fenômeno é chamado de “supercavitação" e, em geral, se origina de um fluxo em sentido inverso na sucção, devido a deficiências de projeto ou de instalação. Além de provocar corrosão, desgastando, removendo partículas e destruindo pedaços dos rotores e dos tubos de aspiração junto à entrada da bomba, a cavitação se apresenta, produzindo: queda de rendimento.

Fundamentos da Mecânica dos Fluidos – Bruce R. Munson, Donald F. Young e Theodore H. Okiishi – 2ª edição – 1ª reimpressão – São Paulo: Editora Edgard Blücher Ltda, 2003

 

Figura 3,16 Distribuição de pressão e cavitação uma tubulação com diâmetro variável

 

Figura 3,17 - Cavitação em uma hélice

“Geralmente, um aumento de velocidade é acompanhado por uma diminuição na pressão. Por exemplo, a velocidade média do escoamento de ar na região superior de uma asa de avião é maior que a velocidade média do escoamento na região inferior da asa. Assim, a força líquida devida a pressão na região inferior da asa é maior do que aquela na região superior da asa e isto gera uma força de sustentação na asa. Se a diferença entre estas velocidades é alta, a diferença entre as pressões também pode ser considerável. Isto pode introduzir efeitos compressíveis nos escoamentos de gases (como os apresentados na Sec. 3.8 e no Cap. 11) e a cavitação nos escoamentos de líquidos. A cavitação ocorre quando a pressão no fluido é reduzida a pressão de vapor e o líquido evapora. É possível identificar a produção de cavitação num escoamento de líquido utilizando a equação de Bernoulli. Se a velocidade do fluido é aumentada (por exemplo, por uma redução de área disponível para o escoamento, veja a Fig. 3.16) a pressão diminuirá. Esta diminuição de pressão, necessária para acelerar o fluido na restrição, pode ser grande o suficiente para que a pressão no líquido atinja o valor da sua pressão de vapor. Um exemplo simples de cavitação pode ser demonstrado numa mangueira de jardim. Se o bocal de borrifamento for estrangulado nós obteremos uma restrição da área de escoamento similar àquela mostrada na Fig. 3.16. Deste modo, a velocidade da água nesta restrição poderá ser relativamente grande. Se formos diminuindo a área de escoamento, o som produzido pelo escoamento de água mudará – um ruído bem definido é produzido a partir de um certo estrangulamento. Este som é provocado pela cavitação. A ebulição ocorre na cavitação (apesar da temperatura ser baixa) e, assim, temos a formação de bolhas de vapor nas zonas de baixa pressão. Quando o fluido escoa para uma região que apresenta pressão mais alta (baixa velocidade), as bolhas colapsam. Este processo pode produzir efeitos dinâmicos (implosões) que causam transientes de pressão na vizinhança das bolhas. Acredita-se que pressões tão altas quanto 690 MPa ocorrem neste processo. Se as bolhas colapsam próximas de uma fronteira física elas podem, depois de um certo tempo, danificar a superfície na área de cavitação. A Fig. 3.17 mostra a cavitação nas pontas de um hélice. Neste caso, a alta rotação do hélice produz uma zona de baixa pressão na periferia do hélice. Obviamente, é necessário projetar e utilizar adequadamente os equipamentos para eliminar os danos que podem ser produzidos pela cavitação.  

Mecânica dos Fluidos – Merle C. Potter e David C. Wiggert – 3ª edição – São Paulo: Pioneira Thomson Learning, 2004

 

 

 

Figura 1,12

 

 

Cavitação: Condição em que a pressão local cai até a pressão de vapor do líquido, formando cavidades preenchidas por vapor.

 

Figura 12.10

 

 

 

Figura 12.11

 

 

 

 

 

 

“Cavitação: Formam-se bolhas no líquido quando a pressão local cai abaixo da pressão de vapor do líquido. Em escoamentos de líquidos, condições podem ser criadas que levem a uma pressão abaixo da pressão de vapor do líquido. Quando isso ocorre, formam-se bolhas no local. Este fenômeno, chamado cavitação, pode ser bastante danoso quando essas bolhas são transportadas pelo escoamento para regiões de pressões mais elevadas. O que acontece é que as bolhas colapsam ao entrar na região de pressão mais alta e esse colapso produz picos de pressão locais que têm o potencial de danificar a parede de uma tubulação ou a hélice de um navio. A cavitação em uma hélice é mostrada na Fig. 1.12.... Cavitação: Mudança de fase de líquido para vapor que ocorre todas as vezes que a pressão local for menor que a pressão do vapor. A cavitação é uma mudança de fase muito rápida de líquido para vapor, que ocorre em um líquido todas as vezes que a pressão local for igualou menor que a pressão do vapor. A primeira ocorrência da cavitação é na posição de pressão mais baixa no campo de escoamento. Foram identificados quatro tipos de cavitação:

1. Cavitação móvel (ou por bolhas), que existe quando bolhas ou cavidades de vapor são formadas, arrastadas na corrente a jusante e sofrem um colapso.

2. Cavitação fixa, que existe quando uma cavidade fixa de vapor aparece como uma região separada. Essa região pode-se religar ao corpo ou pode envolver a parte posterior do corpo e ser fechada pelo escoamento principal; esse caso é conhecido como supercavitação.

3. Cavitação por vórtice, encontrada no núcleo de alta velocidade e, portanto, de baixa pressão, de um vórtice, normalmente observada no vórtice de extremidade que sai de um propulsor.

4. Cavitação vibratória, que pode existir quando uma onda de pressão se propaga em um líquido. Uma onda de pressão consiste em um pulso de pressão, alternando alta pressão seguida de baixa pressão. A parte de baixa pressão da onda (ou vibração) pode resultar em cavitação.

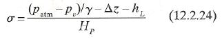
O primeiro tipo de cavitação, no qual as bolhas de vapor são formadas e sofrem um colapso, está associado a danos potenciais. As pressões instantâneas resultantes do colapso podem ser extremamente altas (talvez 1400 MPa) e podem causar danos a componentes de aço inoxidável, como ocorre nos propulsores de navios.... Cavitação refere-se a condições em certos locais dentro da turbomáquina, onde a pressão local cai à pressão de vapor do líquido e, como resultado, cavidades preenchidas por vapor são formadas. À medida que as cavidades são transportadas através das turbomáquinas para regiões de maior pressão, elas colapsarão rapidamente, gerando pressões localizadas extremamente altas. Essas bolhas que colapsam perto de contornos sólidos podem enfraquecer a superfície sólida, e após repetidos colapsos, corrosão, erosão e fadiga da superfície poderão ocorrer. Sinais de cavitação em turbobombas incluem ruído, vibração e uma redução das curvas carga-descarga e de eficiência. As regiões mais suscetíveis a danos em uma turbomáquina são aquelas situadas ligeiramente além das zonas de baixa pressão na parte traseira dos impelidores (ver Fig.12.10). Em geral, mudanças súbitas de direção, aumentos súbitos de área e falta de carenamento são os responsáveis pelos danos de cavitação em turbo bombas (Karassik et al., 1986). O projeto apropriado de turbo bombas minimizará a possibilidade de que a cavitação ocorra. Entretanto, sob condições de operação adversas, as pressões podem cair e a cavitação poderá ocorrer. Dois parâmetros são usados para designar o potencial para cavitação; estes são o número de cavitação e a altura de sucção positiva líquida. Seu interrelacionamento e uso serão agora discutidos. Considere uma bomba que opera da maneira mostrada na Fig. 12.11. O ponto 1 está na superfície líquida no lado da sucção, e o ponto 2 é o ponto de pressão mínima dentro da bomba. Ao escrever a equação de energia do ponto 1 para o ponto 2 e usando uma referência de pressão absoluta, esta resulta:

 

 

em que hL é a perda entre o ponto 1 e o ponto 2, Dz = Z2Z1 e a energia cinética no ponto 1 é suposta desprezível. A pressão mínima permissível no ponto 2 é a pressão de vapor pv. Substituindo isso na expressão, pode-se dizer que o lado esquerdo da Eq. 12.2.21 representa a máxima carga de energia cinética possível no ponto 2 quando a cavitação for iminente. Portanto a altura de sucção positiva líquida (NPSH) é definida como:

 

 

A NPSH também é usada para turbinas; entretanto o sinal do termo hL na Eq. 12.2.22 muda, e o ponto 1 se refere à superfície líquida no lado de descarga da máquina. O requisito de projeto para uma turbobomba é então estabelecido como:

 

 

Os dados de desempenho fornecidos pelos fabricantes de turbomáquinas geralmente incluem curvas de NPSH; estas são desenvolvidas testando-se uma certa família em um ambiente de laboratório.... A curva de NPSH permite que se especifique o máximo valor requerido de Dz a ser usado para uma determinada turbomáquina; observe que é necessário estimar o valor de hL para obter isso. O lado direito da Eq. 12.2.22 pode ser dividido por Hp, a carga total através da bomba para fornecer:

 

 

em que s é o número de cavitação de Thoma. Esse parâmetro é usado como alternativa para a NPSH a fim de estabelecer os critérios de projeto para cavitação. Um número de cavitação crítico, que sinaliza que a cavitação é iminente, é determinado experimentalmente. Portanto, para que não ocorra cavitação, (s) deve ser maior que o número de cavitação crítico. O número de cavitação está em forma adimensional, que é preferível à forma dimensional da NPSH”.

 

Mecânica dos Fluidos – Frank M. White – 4ª edição – Rio de Janeiro: McGraw – Hill Interamericana do Brasil Ltda, 2002

 

“A pressão de vapor é a pressão à qual um líquido vaporiza e está em equilíbrio com seu próprio vapor. Por exemplo, a pressão de vapor da água a 20°C é 2.346 Pa, enquanto a do mercúrio é somente 0,1676 Pa. Se a pressão do líquido é maior que a pressão de vapor, a única troca entre líquido e vapor é a evaporação na interface. Porém, se a pressão do líquido cai abaixo da pressão de vapor, bolhas de vapor começam a aparecer no líquido. Se a água é aquecida a 100°C, sua pressão de vapor sobe a 101,3 kPa, e assim a água na pressão atmosférica normal vaporizará. Quando a pressão do líquido cai abaixo da pressão de vapor devido a um fenômeno de escoamento, chamamos o processo de cavitação. Como veremos no Cap. 2, se a água é acelerada do repouso até 15 m/s, sua pressão caí aproximadamente 1 atm. Isso pode causar cavitação. O parâmetro adimensional que descreve o escoamento induzindo à vaporização é o número de cavitação:

 

 

onde pa = pressão ambiente; pv= pressão de vapor e v = velocidade característica do escoamento. Dependendo da geometria, determinado escoamento tem um valor crítico de Ca abaixo do qual o escoamento começará a cavitar. ... A Fig. 1.12a mostra bolhas de cavitação sendo formadas sobre as superfícies de baixas pressões de uma hélice marítima. Quando se movem até uma região de alta pressão, essas bolhas colapsam imediatamente. O colapso por cavitação pode rapidamente fragmentar e erodir superfícies metálicas e eventualmente destruí-las, como mostra a Fig. 1.12b.

 

 

Trata-se de uma homenagem a Leonhard Euler (1707-1783), sendo raras vezes importante, exceto no caso de pressões suficientemente baixas a ponto de causar a formação de vapor (cavitação) em um líquido. O número de Euler freqüentemente é escrito em termos de diferenças de pressão:

 

Se Dp envolve a pressão de vapor pa, ele é chamado de número de cavitação:

".

 

Mecânica dos Fluidos – Dayr Schiozer – 2ª edição – Rio de Janeiro: LTC – Livros Técnicos e Científicos Editora S.A, 1996

“A aplicação correta dos métodos até aqui expostos permite que se chegue à solução de problema de escoamentos em tubulações, indicando a vazão em diversos trechos de redes. Para que os valores de vazão assim previstos sejam alcançados, é necessário verificar o valor da pressão em todos os pontos da rede. A finalidade é saber se existem pontos da rede onde a pressão relativa seja negativa. Esta ocorrência é fonte de seríssimos problemas operacionais. Pressões negativas exigem um perfeito sistema de vedação em juntas, para evitar que o fluxo de ar para dentro da rede cause distúrbios no escoamento. A causa indesejável mais extrema é a que aparece quando a pressão absoluta atinge a pressão de vapor do líquido. O resultado é o aparecimento de cavitação, que não permite que sejam atingidos os valores de vazão previstos. Mais ainda, a cavitação implica sérios problemas de desgaste de materiais e vibrações, que podem causar colapso estrutural de redes e juntas. É prática comum em projetos de redes estabelecer um limite inferior de pressão na rede, abaixo do qual já existe possibilidade de ocorrência de cavitação”.

 

Máquinas de Fluxo – turbinas, bombas e ventiladores – Richard Bran e Zulcy de Souza – 2ª edição – Rio de Janeiro: AO LIVRO TÉCNICO S/A, 1980

“Reunimos sob o nome de cavitação, um grupo tecnicamente importante de fenômenos que podem ocorrer no interior de sistemas hidráulicos, pelo aparecimento de recintos cheios de vapor. Estes fenômenos ocorrem sempre em locais no interior dos sistemas onde é alcançada a pressão de saturação do líquido pv. Quando esta pressão é alcançada, começam a ser produzidas bolhas de vapor. Estas, são arrastadas pelo líquido até os lugares de maior pressão, onde se condensam violentamente. O desaparecimento das bolhas, abre espaço para que o líquido neles seja impelido. Esta troca é feita em força oscilatória de freqüência próxima de 104 s-1. Os choques contra as paredes, causam a desagregação do material, provocando a denominada erosão cavital. Este material arrastado bem como gases livres, podem produzir reações químicas, aumentando o efeito destrutivo. Além disso a cavitação é acompanhada de vibrações e ruídos, sendo violenta a queda das características da máquina. Assim, por exemplo, na presença de cavitação, uma bomba hidráulica tem sua altura de elevação e vazão, simultaneamente diminuídas, não sendo possível aumentar a vazão, mesmo que seja dada maior abertura no registro de saída da bomba. Esta queda das características, é devido ao grande aumento das perdas uma vez que a corrente já não se comporta da maneira prevista para funcionamento isento de cavitação”.

 

Fundamentos de Sistemas de Engenharia Hidráulica – Ned H. C. Hwang – tradução feita por Archibald Joseph Macintyre – Rio de Janeiro: Editora Prentice – Hall do Brasil Ltda, 1981

 

 

 

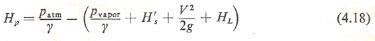
“Uma das considerações importantes a atender no projeto da instalação de uma bomba é a do desnível entre a bomba e a superfície livre do líquido que vai ser bombeado. Normalmente, o líquido na boca de entrada da bomba se encontra numa pressão inferior à atmosférica. O fenômeno de cavitação torna-se um perigo em potencial sempre que a pressão da água em qualquer local do sistema de bombeamento baixa acentuadamente em relação à pressão atmosférica. Um local comum de ocorrência da cavitação é a região das pás próxima à entrada do rotor onde a pressão é baixa e a velocidade de escoamento, relativamente alta. A energia correspondente à diferença entre a pressão atmosférica na superfície do líquido e a pressão à entrada da bomba é aplicada para fazer com que o líquido se eleve da altura Hp até a cota do centro da bomba; vença as perdas de carga HL na tubulação de aspiração e tenha uma energia cinética V²tip/2g próximo à entrada do rotor. A essa grandeza, resultante da soma dos três itens acima mencionados, denomina- se altura total de aspiração da instalação de bombeamento e se designa por HS como mostra a Fig. 4.8. A altura de aspiração pode ser expressa, portanto, por:

 

 

onde Hp é a altura estática de aspiração, desnível do centro da bomba à superfície do líquido no reservatório; SHL (ou Hf) é o somatório das perdas de carga na linha de aspiração e Vtip é a velocidade à entrada do rotor próximo ao bordo de entrada das pás. O valor de Hs deve ser tal que a pressão em qualquer região da bomba fique sempre acima da pressão de vapor do líquido; caso contrário, o líquido vaporizará e ocorrerá cavitação. O líquido vaporizado forma pequenas bolhas na massa em escoamento. Essas bolhas implodem quando atingem regiões de pressão mais elevada. Violentas vibrações podem resultar do colapso das bolhas de vapor no líquido. A sucessiva e repetida implosão das bolhas exerce forte ação de impacto sobre as superfícies metálicas, ocasionando elevadas tensões locais nas pás do rotor e na caixa da bomba. Essas tensões provocam deterioração na superfície, que passa a apresentar um aspecto esponjoso. Esse desgaste das superfícies por cavitação compromete a durabilidade da bomba. Para evitar que ocorra cavitação, a bomba deve ser instalada a uma altura estática tal que a altura total de aspiração seja menor que a diferença entre a pressão atmosférica e a pressão de vapor do líquido, ou seja,

 

A velocidade máxima próxima ao bordo de entrada das pás não é em geral mensurável pelos usuários das bombas. Os fabricantes de bombas se referem em geral a uma grandeza conhecida na prática como altura positiva líquida de sucção, tradução que alguns autores deram ao net positive suction head (NPSH), ou H’S, como indica a Fig. 4.8. Conhecendo-se o valor de NPSH requerido pela bomba, a altura da bomba acima do reservatório (altura estática de aspiração) pode ser facilmente determinada:

 

 

Outro parâmetro também usado no projeto da instalação, de modo que não ocorra cavitação, é o coeficiente de cavitação, (s), definido por:

onde H é a altura dinâmica total desenvolvida pela bomba, e o numerador é o NPSH. O termo H. é semelhante ao expresso pela Eq. (4.17), porém a velocidade, no caso, é a existente na boca de entrada da bomba. O aumento de velocidade da  boca de entrada da bomba até o bordo das pás já é levado em conta no valor do parâmetro (s). O valor de (s) para cada tipo de bomba é geralmente fornecido pelo fabricante da bomba e é obtido em ensaio experimental. Substituindo a relação expressa pela Eq. (4.17) na Eq. (4.19), podemos escrever:

 

 

onde Vi é o maior valor da velocidade de entrada do líquido no rotor. A Eq. (4.20) pode ser escrita sob a forma:

 

que dá o valor da máxima altura estática de aspiração (referida à entrada do rotor) acima do nível do líquido no reservatório. Se o valor obtido com o emprego da Eq. (4.21) for negativo, então a bomba deverá ser colocada numa cota abaixo do nível do líquido no reservatório (instalação "afogada")”.

 

Elementos de Mecânica dos Fluidos – Vennard e Street – 5ª edição – Rio de Janeiro: Editora Guanabara Dois, 1978

 

“Como se sabe, a pressão sobre um líquido só pode ser reduzida até o limite de sua pressão de vapor, numa dada temperatura, abaixo da qual ocorre espontaneamente a vaporização (ou ebulição) do líquido. Esta vaporização em geral produz cavidades e por isso ocorre o fenômeno chamado de cavitação. A formação, o arraste pelo fluido e o subseqüente colapso rápido destas cavidades são fatores que produzem vibração, corrosão destrutiva e outros efeitos deletérios sobre as máquinas hidráulicas, amortecedores hidráulicos e hélices propulsoras de navios, para citar alguns exemplos”.

 

Estará sempre inacabado...

Voltar